‹ › ×
    brand-logo Accueil
    • Biographie
      • Jeunesse
      • Maturité
    • Pianiste
      • Récitaliste 1945-1989
      • Récitaliste 1990-2015
      • Trio Delta
      • Autres musiques de chambre
      • Concertiste
    • Disques
      • Discographie exhaustive
      • 33 tours
      • Ballif
      • Maîtres de la musique tchèque
      • Musique au temps de Proust
      • CD
      • Ballif
      • Brahms
      • Chopin
      • Fauré
      • Godard
      • Haydn
      • Heller
      • Kirchner
      • Lalo
      • L'art de la Mazurka
      • Mozart
      • Reger
      • Schumann
      • Weber
    • Professeur
      • Professeur
      • Traité sur les doigtés
      • De Bach à nos jours
      • Schumann Album pour la jeunesse
      • Concerts-hommage
    • Directeur musical
    • Témoignages
    • Contacts
      • Contact
      • Liens *

    Le Trio Delta

    Jean Martin et Flora Elphège se sont bien trouvés : amis dans la vie et une formidable complicité musicale. Ils se sont rencontrés à Grenoble, lorsque l’un et l’autre sont nommés au conservatoire en 1953. Jean Martin a 26 ans. Sa collaboration avec Flora Elphège dura 38 ans.

    Ils se produisent en concerts et enregistrent des disques jusqu’à la formation du Trio Delta avec le violoncelliste Claude Burgos en 1972.

     

    Interviewé sur sa carrière, Jean Martin dira au micro de Jacques Nouvier : "C’était extraordinaire, pendant 12 ans, nous sommes restés les mêmes partenaires ». 

    Nombreux concerts en Europe, enregistrements, master class, académies d’été de musique de chambre…

     

    Les membres du Trio jouent également avec Max Coste (clarinettiste), Michel Garcin-Marrou (corniste), André Guilbert (flûtiste) et Thomas Sprauel (violoncelliste).  

     

    Le Trio Delta en 1973

    Témoignage de Claude Burgos

    (date erronée : il s'agit du 15 mars 2021 et non pas 2020)

    Répertoire partiel du Trio Delta

    Une astérisque * à la suite de l'annonce de l'événement signifie que plusieurs documents sont consultables en cliquant sur la miniature située à droite.

     

    Sonate pour violon et piano en sol mineur de Debussy

    Trio en sol mineur de Smetana 

     

    Années 1959 - 1969

    Années 1970 - 1979

    Années 1980 - 1997 

    Années 1959 / 1969

    Le 28 janvier 1959 à Romans, avec Flora Elphège, violon * - Mozart, Brahms, Fauré, Martinu

    Le 18 juillet 1965 à Chirens, avec Flora Elphège - Beethoven, Franck, Debussy

    Le 8 mars 1968, article du Monde par Anne Rey sur Flora Elphège et Jean Martin - Poulenc, Debussy, Martinu, Ballif

    Flora Elphège et Jean Martin
    Flora Elphège et Jean Martin en 1959
    Flora Elphège
    Flora Elphège et Jean Martin
    Haut de page

    Années 1970 / 1979

    Le 28 août 1971 au Chateau de Biron, avec Flora Elphège -Mozart, Beethoven, Franck

    Le 18 juillet 1972  à Villeneuve, le Trio au complet avec Flora Elphège et Claude Burgos - Beethoven, Debussy, Brahms

    Le 26 juillet 1972, à Monpazier, Trio - Beethoven, Schubert, Schumann, Brahms

    Le 27 octobre 1972, à Lyon, Salle Molière, Trio * - Schubert, Schumann

    Le 24 janvier 1973 à Romans, trio avec cor (Flora Elphège et Michel Garcin-Marrou au cor) * - Brahms, Schumann

     

    Mars 1973 à Grenoble, cycle Brahms, Trio * - Brahms

    Les 16 et 17 mars 1973 à Grenoble, Trio et Max Coste à la clarinette * - Messiaen

    Le 27  juin 1973, Villeneuve sur Lot, Trio avec Max Coste à la clarinette et André Guilbert à la flûte - Haydn, Brahms, Schumann, Beethoven, Mozart, Messiaen, Schubert, Debussy, Couperin, Vivaldi, Poulenc, Weber

    Le 18 juillet 1973, Monpazier,  Trio - Haydn, Debussy, Schubert

    Le 26 avril 1974, à Grenoble peut-être, Flora Elphège et Max Coste à la clarinette - Schumann

    Le 15 octobre 1974, Grenoble, critique du Trio Delta - Lalo, Fauré, Chausson

    Le 6 novembre 1974, Grenoble, critique du Trio Delta - Brahms, Lalo, Chausson

    Le 21 janvier 1975 à Lyon salle Molière, Trio * - Haydn, Lalo, Brahms

    Le 17 novembre 1975 à Toulouse, Trio Delta et Max Coste à la clarinette - Messiaen

    Le 21 novembre 1975 à Paris Sorbonne, Trio avec Max Coste à la clarinette -Dvorak, Messiaen

    Le 27 mai 1976 à Oyonnax, Trio  - Mozart, Brahms, Ravel

    (cela pourrait également être le 27 mai 1982)

    Le 4 juin 1976, en Norvège, Trio - Chausson, Ravel (article en norvégien !)

    Le 19 novembre 1976 à Fresnes, Trio * - Mozart, Fauré, Schubert, Beethoven, Smetana, Ravel, Haydn, Brahms, Chausson

    Le 16 février 1979 à Troyes, Trio * - Beethoven, Brahms, Saint-Saens

    Claude Burgos
    Flora Elphège et un étui de violoncelle, probablement celui de Claude Burgos
    Claude Burgos et un flûtiste, peut-être André Guilbert
    Claude Burgos
    Haut de page

    Années 1980 / 1997

    Le 23 mars 1980 à Grenoble, Trio - Beethoven, Schumann, Brahms

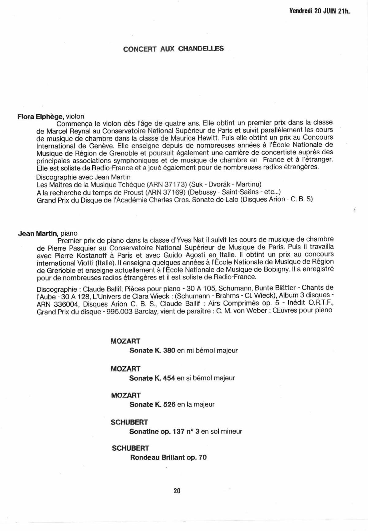
    Le 20 juin 1980 à Paris Saint-Aignan, Flora Elphège - Mozart, Schubert

    Le 19 septembre 1980 à Laon, Trio - Beethoven, Ravel, Schubert

    Le 14 novembre 1980 à Paris Sorbonne, Trio - Beethoven, Schumann, Ravel

    Le 29 janvier 1981 à Paris studio 106, Trio * - Haydn, Beethoven, Smetana

    Le 26 juin 1981 à Saint-Jeoire-Prieuré, Trio - Haydn, Smetana, Chausson

    Le 28 juin 1981 à Grignan, Trio - Chausson, Haydn, Ravel

    Le 22 mai 1982, à Chambery théatre Charles Dullin, Trio - Haydn, Mozart

    Le 26 juin 1982 à Chirens, Trio * - Mozart, Ravel, Smetana

    Le 24 janvier 1983 à Lyon Salle Molière, Trio * - Mozart, Lalo, Smetana

    Le 16 février 1983 à Saint-Claude Théatre du peuple, Trio - Haydn, Babadjanian, Ravel

    Le 30 juillet 1988 à Chirens, Flora Elphège - Debussy, Brahms, Mozart

    Saison 1996-97, annonce de concerts

    Le 25 avril 1997 à Paris, Théatre Sylvia Monfort, Flora Elphège, Thomas Sprauel au violoncelle - Brahms

    Le trio
    Le trio
    Le trio
    Le trio
    Le trio
    Le trio
    Haut de page

    © Collège Jean Martin 2021-2025